Любимый магазин книг Book24
Интернет-магазин книг, товаров для творчества, канцелярии и игрушек
Каталог
Художественная литература
Проза
Классическая проза
Современная проза
Сентиментальная проза
Исторический роман
Комиксы
Юмор
Фольклор
Фантастика. Фэнтези. Ужасы
Фэнтези
Ужасы
Фантастика
Поэзия
Классическая
Современная
Остросюжетная литература
Детектив
Триллер
Проза на Английском языке
Скидки
Книги месяца
Серия недели
Уценка
Детская литература
Обучение
Готовимся к школе
Учимся в школе
Художественна литература
Проза
Сказки
Стихи
Познавательная литература
Книги для девочек
Книги для мальчиков
Энциклопедии
Книги для детей и родителей
Воспитание и педагогика
Детские комиксы
Подростковая литература
YOUNG ADULT
Проза
Музыкальные книги
Детские книги на Английском языке
Познавательная литература
Общество
История, политика
Биография, Мемуары
Цитаты, афоризмы
Научная литература
Естественные науки
Компьютер, интернет
Транспорт, техника, оружие
Гуманитарные науки
Медицина. Здоровье
Учебники, пособия
Здоровье
Красота. Уход за телом. Массаж
Диеты
Спорт. Йога
Беременность и роды
Эротика. Секс
Бизнес. Психология
Маркетинг. Продажи. Менеджмент
Психология. Саморазвитие
Книги по культуре и искусству
Архитектура. Дизайн
Изобразительное искусство
Музыка, театр, кино, фотография
Блокноты. Календари. Ежедневники
Культура. Искусство
Мода и стиль. Этикет
Иностранные языки
Учебники
Словари и разговорники
Художественная литература
Духовное развитие
Эзотерика
Философия
Хобби и Досуг
Кулинария
Авторская кухня
Напитки
Национальные кухни
Мультиварка, пароварка, аэрогриль
Мясо, птица, рыба
Десерты, выпечка
Сборники кулинарных рецептов
Праздничный стол
Салаты
Блюда быстрого приготовления
Вегетарианство. Сыроедение
Консервация. Соления
Блокноты для рецептов
Рукоделие. Творчество
Вышивка. Кройка и шитье
Вязание
Делаем своими руками
Туризм
Путеводители
Лучшие места мира
Домоводство. Приусадебное хозяйство
Ведение домашнего хозяйства
Ремонт, строительство, ремесла
Животные
Комнатные растения
Досуг
Раскраска-антистресс
Садовые культуры. Огород
Подарочные издания
Что почитать?
Подборки книг
Подборка новинок по жанрам
Акция!
Книги в коже
Книги в подарок
Подарок маленькому выпускнику
Страшно интересные книги к Хэллоуину
Подарок к Новому году
Подарок девушке
Подарок юноше
Подарок мужчине
Подарок женщине
Подарок мальчикам
Подарок девочкам
Подарок малышу
Некнижная продукция
БОМБОРА Канцелярия
Бумажная продукция
Альбомы и блокноты
Ежедневники
Карты и атласы
Календари
Блокнот для записей рецептов
Канцелярия
Глобусы
Тетради
Ручки, карандаши
Рюкзаки, пеналы, сумки
Творчество
Опыты и эксперименты
Мастерим своими руками
Раскраски
Пазлы
Увлекательный досуг для детей
Игры и игрушки
Игрушки
Игры
Суперхиты
Новинки
Предзаказ
Акции
Блог
Издательства
Как купить
Вопрос-ответ
Условия оплаты
Условия доставки
Условия возврата
Гарантия на товар
Реквизиты
Компания
О компании
Новости
Отзывы
Карьера
Контакты
Система лояльности
Корпоративным клиентам
Лицензии
Документы
Контакты
+7 (727) 251-59-90
+7 (727) 251-59-90(вн. 117)
+7 (777) 007-66-33WhatsApp
+7 (777) 007-66-55WhatsApp
+7 (771) 704-20-77
Заказать звонок
Задать вопрос
info@book24.kz
г. Алматы, ул. Домбровского 3а
  • Вконтакте
  • Facebook
  • Twitter
  • Instagram
  • YouTube
  • Google Plus
  • WhatsApp
  • Главная
  • О компании
  • Издательства
  • Блог
  • Как купить
  • Контакты
  • Система лояльности
  • ...
    +7 (727) 251-59-90
    +7 (727) 251-59-90(вн. 117)
    +7 (777) 007-66-33WhatsApp
    +7 (777) 007-66-55WhatsApp
    +7 (771) 704-20-77
    Любимый магазин книг Book24
    Акции
    Художественная литература
    • Проза
      Проза
      • Классическая проза
      • Современная проза
      • Сентиментальная проза
      • Исторический роман
      • Комиксы
      • Юмор
      • Фольклор
    • Фантастика. Фэнтези. Ужасы
      Фантастика. Фэнтези. Ужасы
      • Фэнтези
      • Ужасы
      • Фантастика
    • Поэзия
      Поэзия
      • Классическая
      • Современная
    • Остросюжетная литература
      Остросюжетная литература
      • Детектив
      • Триллер
    • Проза на Английском языке
      Проза на Английском языке
    Скидки
    • Книги месяца
    • Серия недели
    • Уценка
    Детская литература
    • Обучение
      Обучение
      • Готовимся к школе
      • Учимся в школе
    • Художественна литература
      Художественна литература
      • Проза
      • Сказки
      • Стихи
    • Познавательная литература
      Познавательная литература
      • Книги для девочек
      • Книги для мальчиков
      • Энциклопедии
    • Книги для детей и родителей
      Книги для детей и родителей
      • Воспитание и педагогика
    • Детские комиксы
      Детские комиксы
    • Подростковая литература
      • YOUNG ADULT
      • Проза
    • Музыкальные книги
      Музыкальные книги
    • Детские книги на Английском языке
      Детские книги на Английском языке
    Познавательная литература
    • Общество
      Общество
      • История, политика
      • Биография, Мемуары
      • Цитаты, афоризмы
    • Научная литература
      Научная литература
      • Естественные науки
      • Компьютер, интернет
      • Транспорт, техника, оружие
      • Гуманитарные науки
    • Медицина. Здоровье
      Медицина. Здоровье
      • Учебники, пособия
      • Здоровье
      • Красота. Уход за телом. Массаж
      • Диеты
      • Спорт. Йога
      • Беременность и роды
      • Эротика. Секс
    • Бизнес. Психология
      Бизнес. Психология
      • Маркетинг. Продажи. Менеджмент
      • Психология. Саморазвитие
    • Книги по культуре и искусству
      Книги по культуре и искусству
      • Архитектура. Дизайн
      • Изобразительное искусство
      • Музыка, театр, кино, фотография
      • Блокноты. Календари. Ежедневники
      • Культура. Искусство
      • Мода и стиль. Этикет
    • Иностранные языки
      Иностранные языки
      • Учебники
      • Словари и разговорники
      • Художественная литература
    • Духовное развитие
      Духовное развитие
      • Эзотерика
      • Философия
    Хобби и Досуг
    • Кулинария
      Кулинария
      • Авторская кухня
      • Напитки
      • Национальные кухни
      • Мультиварка, пароварка, аэрогриль
      • Мясо, птица, рыба
      • Десерты, выпечка
      • Сборники кулинарных рецептов
      • Праздничный стол
      • Салаты
      • Блюда быстрого приготовления
      • Вегетарианство. Сыроедение
      • Консервация. Соления
      • Блокноты для рецептов
      • +  ЕЩЕ
    • Рукоделие. Творчество
      Рукоделие. Творчество
      • Вышивка. Кройка и шитье
      • Вязание
      • Делаем своими руками
    • Туризм
      Туризм
      • Путеводители
      • Лучшие места мира
    • Домоводство. Приусадебное хозяйство
      Домоводство. Приусадебное хозяйство
      • Ведение домашнего хозяйства
      • Ремонт, строительство, ремесла
      • Животные
      • Комнатные растения
      • Досуг
      • Раскраска-антистресс
      • Садовые культуры. Огород
    Подарочные издания
    • Что почитать?
      Что почитать?
      • Подборки книг
      • Подборка новинок по жанрам
      • Акция!
    • Книги в коже
      Книги в коже
    • Книги в подарок
      Книги в подарок
      • Подарок маленькому выпускнику
      • Страшно интересные книги к Хэллоуину
      • Подарок к Новому году
      • Подарок девушке
      • Подарок юноше
      • Подарок мужчине
      • Подарок женщине
      • Подарок мальчикам
      • Подарок девочкам
      • Подарок малышу
    Некнижная продукция
    • БОМБОРА Канцелярия
      БОМБОРА Канцелярия
    • Бумажная продукция
      Бумажная продукция
      • Альбомы и блокноты
      • Ежедневники
      • Карты и атласы
      • Календари
      • Блокнот для записей рецептов
    • Канцелярия
      Канцелярия
      • Глобусы
      • Тетради
      • Ручки, карандаши
      • Рюкзаки, пеналы, сумки
    • Творчество
      Творчество
      • Опыты и эксперименты
      • Мастерим своими руками
      • Раскраски
      • Пазлы
      • Увлекательный досуг для детей
    • Игры и игрушки
      Игры и игрушки
      • Игрушки
      • Игры
    +  ЕЩЕ
      Любимый магазин книг Book24
      Каталог
      Художественная литература
      Скидки
      Детская литература
      Познавательная литература
      Хобби и Досуг
      Подарочные издания
      Некнижная продукция
      Суперхиты
      Новинки
      Предзаказ
        • Проза
          Проза
          • Классическая проза
          • Современная проза
          • Сентиментальная проза
          • Исторический роман
          • Комиксы
          • Юмор
          • Фольклор
        • Фантастика. Фэнтези. Ужасы
          Фантастика. Фэнтези. Ужасы
          • Фэнтези
          • Ужасы
          • Фантастика
        • Поэзия
          Поэзия
          • Классическая
          • Современная
        • Остросюжетная литература
          Остросюжетная литература
          • Детектив
          • Триллер
        • Проза на Английском языке
          Проза на Английском языке
        • Книги месяца
        • Серия недели
        • Уценка
        • Обучение
          Обучение
          • Готовимся к школе
          • Учимся в школе
        • Художественна литература
          Художественна литература
          • Проза
          • Сказки
          • Стихи
        • Познавательная литература
          Познавательная литература
          • Книги для девочек
          • Книги для мальчиков
          • Энциклопедии
        • Книги для детей и родителей
          Книги для детей и родителей
          • Воспитание и педагогика
        • Детские комиксы
          Детские комиксы
        • Подростковая литература
          • YOUNG ADULT
          • Проза
        • Музыкальные книги
          Музыкальные книги
        • Детские книги на Английском языке
          Детские книги на Английском языке
        • Общество
          Общество
          • История, политика
          • Биография, Мемуары
          • Цитаты, афоризмы
        • Научная литература
          Научная литература
          • Естественные науки
          • Компьютер, интернет
          • Транспорт, техника, оружие
          • Гуманитарные науки
        • Медицина. Здоровье
          Медицина. Здоровье
          • Учебники, пособия
          • Здоровье
          • Красота. Уход за телом. Массаж
          • Диеты
          • Спорт. Йога
          • Беременность и роды
          • Эротика. Секс
        • Бизнес. Психология
          Бизнес. Психология
          • Маркетинг. Продажи. Менеджмент
          • Психология. Саморазвитие
        • Книги по культуре и искусству
          Книги по культуре и искусству
          • Архитектура. Дизайн
          • Изобразительное искусство
          • Музыка, театр, кино, фотография
          • Блокноты. Календари. Ежедневники
          • Культура. Искусство
          • Мода и стиль. Этикет
        • Иностранные языки
          Иностранные языки
          • Учебники
          • Словари и разговорники
          • Художественная литература
        • Духовное развитие
          Духовное развитие
          • Эзотерика
          • Философия
        • Кулинария
          Кулинария
          • Авторская кухня
          • Напитки
          • Национальные кухни
          • Мультиварка, пароварка, аэрогриль
          • Мясо, птица, рыба
          • Десерты, выпечка
          • Сборники кулинарных рецептов
          • Праздничный стол
          • Салаты
          • Блюда быстрого приготовления
          • Вегетарианство. Сыроедение
          • Консервация. Соления
          • Блокноты для рецептов
          • +  ЕЩЕ 3
        • Рукоделие. Творчество
          Рукоделие. Творчество
          • Вышивка. Кройка и шитье
          • Вязание
          • Делаем своими руками
        • Туризм
          Туризм
          • Путеводители
          • Лучшие места мира
        • Домоводство. Приусадебное хозяйство
          Домоводство. Приусадебное хозяйство
          • Ведение домашнего хозяйства
          • Ремонт, строительство, ремесла
          • Животные
          • Комнатные растения
          • Досуг
          • Раскраска-антистресс
          • Садовые культуры. Огород
        • Что почитать?
          Что почитать?
          • Подборки книг
          • Подборка новинок по жанрам
          • Акция!
        • Книги в коже
          Книги в коже
        • Книги в подарок
          Книги в подарок
          • Подарок маленькому выпускнику
          • Страшно интересные книги к Хэллоуину
          • Подарок к Новому году
          • Подарок девушке
          • Подарок юноше
          • Подарок мужчине
          • Подарок женщине
          • Подарок мальчикам
          • Подарок девочкам
          • Подарок малышу
        • БОМБОРА Канцелярия
          БОМБОРА Канцелярия
        • Бумажная продукция
          Бумажная продукция
          • Альбомы и блокноты
          • Ежедневники
          • Карты и атласы
          • Календари
          • Блокнот для записей рецептов
        • Канцелярия
          Канцелярия
          • Глобусы
          • Тетради
          • Ручки, карандаши
          • Рюкзаки, пеналы, сумки
        • Творчество
          Творчество
          • Опыты и эксперименты
          • Мастерим своими руками
          • Раскраски
          • Пазлы
          • Увлекательный досуг для детей
        • Игры и игрушки
          Игры и игрушки
          • Игрушки
          • Игры
      Акции
      Блог
      Издательства
      Как купить
      • Вопрос-ответ
      • Условия оплаты
      • Условия доставки
      • Условия возврата
      • Гарантия на товар
      • Реквизиты
      Компания
      • О компании
      • Новости
      • Отзывы
      • Карьера
      • Контакты
      • Система лояльности
      • Корпоративным клиентам
      • Лицензии
      • Документы
      Контакты
      +  ЕЩЕ
        • Каталог
          • Назад
          • Каталог
          • Художественная литература
            • Назад
            • Художественная литература
            • Проза Проза
              • Назад
              • Проза
              • Классическая проза Классическая проза
              • Современная проза Современная проза
              • Сентиментальная проза Сентиментальная проза
              • Исторический роман Исторический роман
              • Комиксы Комиксы
              • Юмор Юмор
              • Фольклор Фольклор
            • Фантастика. Фэнтези. Ужасы Фантастика. Фэнтези. Ужасы
              • Назад
              • Фантастика. Фэнтези. Ужасы
              • Фэнтези Фэнтези
              • Ужасы Ужасы
              • Фантастика Фантастика
            • Поэзия Поэзия
              • Назад
              • Поэзия
              • Классическая Классическая
              • Современная Современная
            • Остросюжетная литература Остросюжетная литература
              • Назад
              • Остросюжетная литература
              • Детектив Детектив
              • Триллер Триллер
            • Проза на Английском языке Проза на Английском языке
          • Скидки
            • Назад
            • Скидки
            • Книги месяца
            • Серия недели
            • Уценка
          • Детская литература Детская литература
            • Назад
            • Детская литература
            • Обучение Обучение
              • Назад
              • Обучение
              • Готовимся к школе
              • Учимся в школе Учимся в школе
            • Художественна литература Художественна литература
              • Назад
              • Художественна литература
              • Проза Проза
              • Сказки Сказки
              • Стихи Стихи
            • Познавательная литература Познавательная литература
              • Назад
              • Познавательная литература
              • Книги для девочек Книги для девочек
              • Книги для мальчиков Книги для мальчиков
              • Энциклопедии Энциклопедии
            • Книги для детей и родителей Книги для детей и родителей
              • Назад
              • Книги для детей и родителей
              • Воспитание и педагогика Воспитание и педагогика
            • Детские комиксы Детские комиксы
            • Подростковая литература
              • Назад
              • Подростковая литература
              • YOUNG ADULT YOUNG ADULT
              • Проза
            • Музыкальные книги Музыкальные книги
            • Детские книги на Английском языке Детские книги на Английском языке
          • Познавательная литература Познавательная литература
            • Назад
            • Познавательная литература
            • Общество Общество
              • Назад
              • Общество
              • История, политика История, политика
              • Биография, Мемуары Биография, Мемуары
              • Цитаты, афоризмы Цитаты, афоризмы
            • Научная литература Научная литература
              • Назад
              • Научная литература
              • Естественные науки Естественные науки
              • Компьютер, интернет Компьютер, интернет
              • Транспорт, техника, оружие Транспорт, техника, оружие
              • Гуманитарные науки Гуманитарные науки
            • Медицина. Здоровье Медицина. Здоровье
              • Назад
              • Медицина. Здоровье
              • Учебники, пособия Учебники, пособия
              • Здоровье Здоровье
              • Красота. Уход за телом. Массаж Красота. Уход за телом. Массаж
              • Диеты Диеты
              • Спорт. Йога Спорт. Йога
              • Беременность и роды Беременность и роды
              • Эротика. Секс Эротика. Секс
            • Бизнес. Психология Бизнес. Психология
              • Назад
              • Бизнес. Психология
              • Маркетинг. Продажи. Менеджмент Маркетинг. Продажи. Менеджмент
              • Психология. Саморазвитие Психология. Саморазвитие
            • Книги по культуре и искусству Книги по культуре и искусству
              • Назад
              • Книги по культуре и искусству
              • Архитектура. Дизайн
              • Изобразительное искусство Изобразительное искусство
              • Музыка, театр, кино, фотография Музыка, театр, кино, фотография
              • Блокноты. Календари. Ежедневники Блокноты. Календари. Ежедневники
              • Культура. Искусство Культура. Искусство
              • Мода и стиль. Этикет Мода и стиль. Этикет
            • Иностранные языки Иностранные языки
              • Назад
              • Иностранные языки
              • Учебники Учебники
              • Словари и разговорники Словари и разговорники
              • Художественная литература Художественная литература
            • Духовное развитие Духовное развитие
              • Назад
              • Духовное развитие
              • Эзотерика Эзотерика
              • Философия Философия
          • Хобби и Досуг Хобби и Досуг
            • Назад
            • Хобби и Досуг
            • Кулинария Кулинария
              • Назад
              • Кулинария
              • Авторская кухня Авторская кухня
              • Напитки Напитки
              • Национальные кухни Национальные кухни
              • Мультиварка, пароварка, аэрогриль Мультиварка, пароварка, аэрогриль
              • Мясо, птица, рыба Мясо, птица, рыба
              • Десерты, выпечка Десерты, выпечка
              • Сборники кулинарных рецептов Сборники кулинарных рецептов
              • Праздничный стол Праздничный стол
              • Салаты Салаты
              • Блюда быстрого приготовления Блюда быстрого приготовления
              • Вегетарианство. Сыроедение Вегетарианство. Сыроедение
              • Консервация. Соления Консервация. Соления
              • Блокноты для рецептов Блокноты для рецептов
            • Рукоделие. Творчество Рукоделие. Творчество
              • Назад
              • Рукоделие. Творчество
              • Вышивка. Кройка и шитье Вышивка. Кройка и шитье
              • Вязание Вязание
              • Делаем своими руками Делаем своими руками
            • Туризм Туризм
              • Назад
              • Туризм
              • Путеводители Путеводители
              • Лучшие места мира Лучшие места мира
            • Домоводство. Приусадебное хозяйство Домоводство. Приусадебное хозяйство
              • Назад
              • Домоводство. Приусадебное хозяйство
              • Ведение домашнего хозяйства Ведение домашнего хозяйства
              • Ремонт, строительство, ремесла Ремонт, строительство, ремесла
              • Животные Животные
              •  Комнатные растения Комнатные растения
              • Досуг Досуг
              • Раскраска-антистресс Раскраска-антистресс
              • Садовые культуры. Огород Садовые культуры. Огород
          • Подарочные издания Подарочные издания
            • Назад
            • Подарочные издания
            • Что почитать? Что почитать?
              • Назад
              • Что почитать?
              • Подборки книг Подборки книг
              • Подборка новинок по жанрам Подборка новинок по жанрам
              • Акция! Акция!
            • Книги в коже Книги в коже
            • Книги в подарок Книги в подарок
              • Назад
              • Книги в подарок
              • Подарок маленькому выпускнику Подарок маленькому выпускнику
              • Страшно интересные книги к Хэллоуину
              • Подарок к Новому году
              • Подарок девушке Подарок девушке
              • Подарок юноше Подарок юноше
              • Подарок мужчине Подарок мужчине
              • Подарок женщине Подарок женщине
              • Подарок мальчикам Подарок мальчикам
              • Подарок девочкам Подарок девочкам
              •  Подарок малышу Подарок малышу
          • Некнижная продукция
            • Назад
            • Некнижная продукция
            • БОМБОРА Канцелярия БОМБОРА Канцелярия
            • Бумажная продукция Бумажная продукция
              • Назад
              • Бумажная продукция
              • Альбомы и блокноты Альбомы и блокноты
              • Ежедневники
              • Карты и атласы Карты и атласы
              • Календари
              • Блокнот для записей рецептов Блокнот для записей рецептов
            • Канцелярия Канцелярия
              • Назад
              • Канцелярия
              • Глобусы
              • Тетради Тетради
              • Ручки, карандаши Ручки, карандаши
              • Рюкзаки, пеналы, сумки Рюкзаки, пеналы, сумки
            • Творчество Творчество
              • Назад
              • Творчество
              • Опыты и эксперименты Опыты и эксперименты
              • Мастерим своими руками Мастерим своими руками
              • Раскраски Раскраски
              • Пазлы
              • Увлекательный досуг для детей Увлекательный досуг для детей
            • Игры и игрушки Игры и игрушки
              • Назад
              • Игры и игрушки
              • Игрушки Игрушки
              • Игры Игры
          • Суперхиты
          • Новинки
          • Предзаказ
        • Акции
        • Блог
        • Издательства
        • Как купить
          • Назад
          • Как купить
          • Вопрос-ответ
          • Условия оплаты
          • Условия доставки
          • Условия возврата
          • Гарантия на товар
          • Реквизиты
        • Компания
          • Назад
          • Компания
          • О компании
          • Новости
          • Отзывы
          • Карьера
          • Контакты
          • Система лояльности
          • Корпоративным клиентам
          • Лицензии
          • Документы
        • Контакты
        • +7 (727) 251-59-90(вн. 117)
          • Назад
          • Телефоны
          • +7 (727) 251-59-90(вн. 117)
          • +7 (777) 007-66-33WhatsApp
          • +7 (777) 007-66-55WhatsApp
          • +7 (771) 704-20-77
        Контактная информация
        г. Алматы, ул. Домбровского 3а
        info@book24.kz
        • Вконтакте
        • Facebook
        • Twitter
        • Instagram
        • YouTube
        • Google Plus
        • WhatsApp

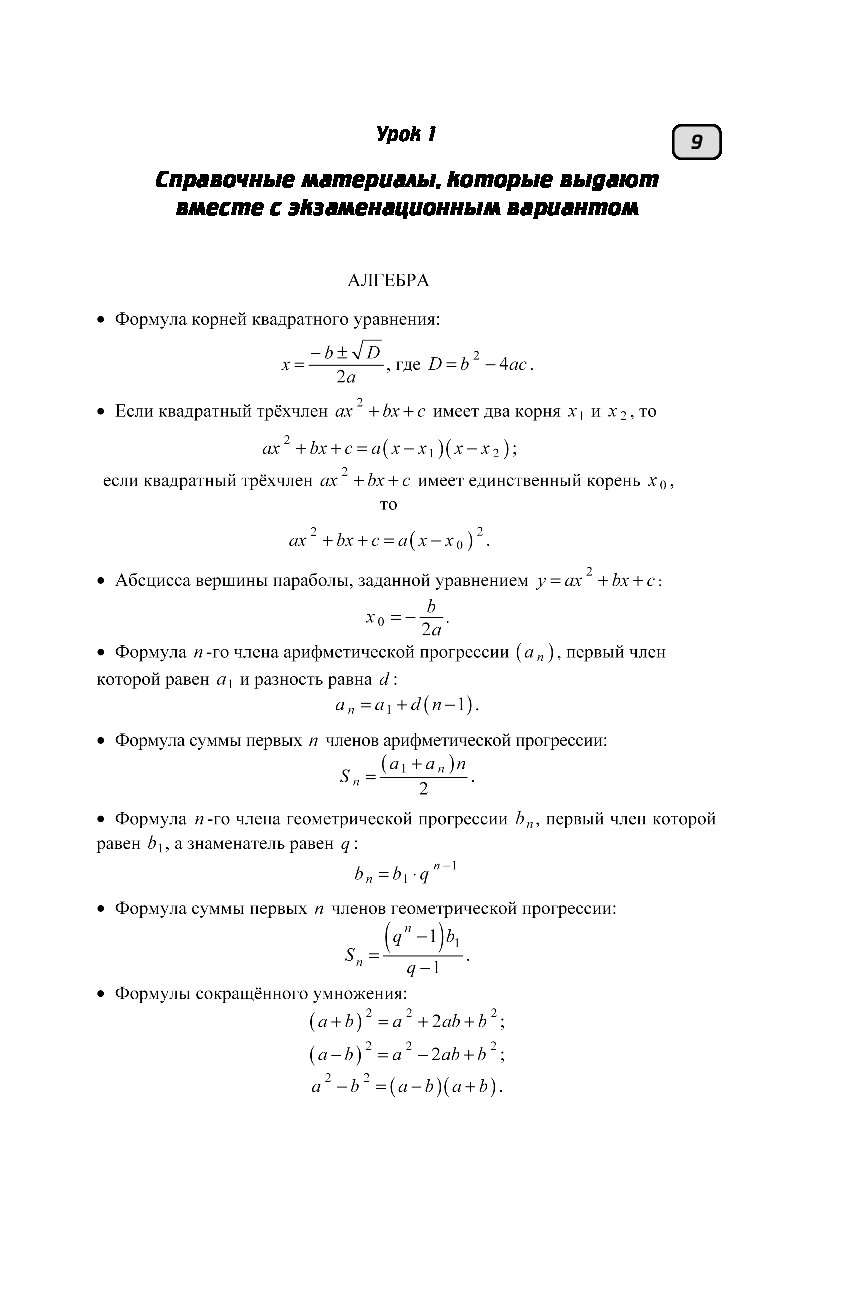
        «ОГЭ. Математика. ОГЭ на 100 баллов. Справочник: Теория и практика» Слонимский Л.И., Слонимская И.С.

        Главная
        —
        Детская литература
        СкидкиХудожественная литератураПознавательная литератураХобби и ДосугНекнижная продукция Подарочные издания
        —
        Обучение
        Художественна литератураПознавательная литератураКниги для детей и родителейДетские комиксыПодростковая литератураМузыкальные книгиДетские книги на Английском языке
        —
        Учимся в школе
        Готовимся к школе
        — «ОГЭ. Математика. ОГЭ на 100 баллов. Справочник: Теория и практика» Слонимский Л.И., Слонимская И.С.
        -5%
        ОГЭ. Математика. ОГЭ на 100 баллов. Справочник: Теория и практика
        SOURCE_PICTURE
        SOURCE_COVER4
        Артикул: ASE000000000892270
        Характеристики
        Возрастное ограничение
        —
        12+
        ISBN
        —
        978-5-17-178086-9
        Издательство
        —
        АСТ
        Авторы
        —
        Слонимский Лев Иосифович, Слонимская И. С.
        Серия
        —
        ОГЭ на 100 баллов
        Переплет
        —
        Мягкий
        Вес
        —
        0.333
        Количество страниц
        —
        448
        Ширина
        —
        140
        Высота
        —
        215
        Дата последнего тиража
        —
        25.07.2025
        АСТ
        Хочу в подарок
        Самовывоз – бесплатно
        Стоимость доставки зависит от выбранной курьерской службы
        Цена действительна только для интернет-магазина и может отличаться от цен в розничных магазинах
        • Читать отрывок
        • Отзывы
        • Как купить
        • Оплата
        • Доставка
        ОГЭ. Математика. ОГЭ на 100 баллов. Справочник: Теория и практика ОГЭ. Математика. ОГЭ на 100 баллов. Справочник: Теория и практика ОГЭ. Математика. ОГЭ на 100 баллов. Справочник: Теория и практика ОГЭ. Математика. ОГЭ на 100 баллов. Справочник: Теория и практика ОГЭ. Математика. ОГЭ на 100 баллов. Справочник: Теория и практика ОГЭ. Математика. ОГЭ на 100 баллов. Справочник: Теория и практика ОГЭ. Математика. ОГЭ на 100 баллов. Справочник: Теория и практика ОГЭ. Математика. ОГЭ на 100 баллов. Справочник: Теория и практика ОГЭ. Математика. ОГЭ на 100 баллов. Справочник: Теория и практика ОГЭ. Математика. ОГЭ на 100 баллов. Справочник: Теория и практика ОГЭ. Математика. ОГЭ на 100 баллов. Справочник: Теория и практика ОГЭ. Математика. ОГЭ на 100 баллов. Справочник: Теория и практика ОГЭ. Математика. ОГЭ на 100 баллов. Справочник: Теория и практика ОГЭ. Математика. ОГЭ на 100 баллов. Справочник: Теория и практика ОГЭ. Математика. ОГЭ на 100 баллов. Справочник: Теория и практика
        Отзывы
        Нет оценок
        Оставить отзыв

        Для покупки товара в нашем интернет-магазине выберите понравившийся товар и добавьте его в корзину. Далее перейдите в Корзину и нажмите на «Оформить заказ» или «Быстрый заказ».

        Когда оформляете быстрый заказ, напишите ФИО, телефон и e-mail. Вам перезвонит менеджер и уточнит условия заказа. По результатам разговора вам придет подтверждение оформления товара на почту или через СМС. Теперь останется только ждать доставки и радоваться новой покупке.

        Оформление заказа в стандартном режиме выглядит следующим образом. Заполняете полностью форму по последовательным этапам: адрес, способ доставки, оплаты, данные о себе. Советуем в комментарии к заказу написать информацию, которая поможет курьеру вас найти. Нажмите кнопку «Оформить заказ».

        Оплачивайте покупки удобным способом. В интернет-магазине доступно 3 варианта оплаты:

        1. Платежными картами Visa, MasterCard, American Express на сайте. Вы можете оплатить с помощью платёжной карты любого банка Казахстана систем Visa, MasterCard и American Express. Оплата производится через систему авторизации платежных карт Processing.kz АО «Сбербанк».
        2. Оплата наличными курьеру при получении товара. Вы можете оплатить заказ наличными или оплатить картой курьеру при получении.
        3. Банковским переводом. Этот способ оплаты, доступен для юридических лиц и индивидуальных предпринимателей. Производится безналичным переводом по реквизитам, указанным в выставляемом счете. Деньги на счёт зачисляются в течение 1-2 рабочих дней при оплате через АО «Сбербанк», и до 3 дней через другие банки.
        Экономьте время на получении заказа. В интернет-магазине доступно 4 варианта доставки:
        1. Самовывоз . Пункт самовывоза находиться в г. Алматы, по адресу Домбровского 3 "А", офис 1 (Заказ предварительно оформить на сайте). Работает по БУДНЯМ с 09:00 до 17:30 , пожалуйста позвоните нам за 20 мин и сообщите о своем приезде.
        2. Доставка в ближайшее отделение Казпочты. Для получения товара Вам нужно будет обратиться в назначенное отделение после смс-сообщения о прибытии товара. При себе нужно иметь удостоверение личности и знать трек-номер.
        3. Почтоматы Казпочты. Отправка заказов только по 100 % предоплате.
        Рекомендуем
        Хотите купить книгу ОГЭ. Математика. ОГЭ на 100 баллов. Справочник: Теория и практика? В каталоге нашего книжного интернет-магазина вы найдете лучшие образцы художественной литературы, классические произведения, жемчужины отечественной и мировой поэзии. Все книги предлагаем недорого. В интернет-магазине Book24.kz можно не только заказать книгу по доступной цене, но и воспользоваться сервисом курьерской доставки. Отправляем заказы во все города РК: Алматы, Астана, Актау, Актобе, Атырау, Караганда, Кокшетау, Костанай, Кызылорда, Павлодар, Петропавловск, Талдыкорган, Тараз, Уральск, Усть-Каменогорск, Шымкент, и другие. Доставка занимает 1-9 дней.
        АСТ
        Все книги категории
        Все книги издательства АСТ

        Нужна консультация?

        Наши специалисты ответят на любой интересующий вопрос
        Задать вопрос
        Каталог
        Акции
        Издательства
        Авторы
        Серии
        Блог
        Компания
        О компании
        Новости
        Отзывы
        Карьера
        Контакты
        Система лояльности
        Корпоративным клиентам
        Лицензии
        Документы
        Информация
        Магазины
        Условия оплаты
        Условия доставки
        Гарантия на товар
        Реквизиты
        Договор публичной оферты
        Помощь
        Условия оплаты
        Условия доставки
        Условия возврата
        Гарантия на товар
        Вопрос-ответ
        +7 (727) 251-59-90
        +7 (727) 251-59-90(вн. 117)
        +7 (777) 007-66-33WhatsApp
        +7 (777) 007-66-55WhatsApp
        +7 (771) 704-20-77
        info@book24.kz
        г. Алматы, ул. Домбровского 3а
        • Вконтакте
        • Facebook
        • Twitter
        • Instagram
        • YouTube
        • Google Plus
        • WhatsApp
        2025 © Книжный интернет-магазин Book24.kz